收益率是什么
精选回答
东奥美国注册管理会计师
2024-04-23 16:50:05

收益率是投资的回报率,一般以年度百分比表达,它根据当时市场价格、面值、息票利率以及距离到期日时间进行计算。对公司而言,收益率指净利润占使用的平均资本的百分比。收益率研究的是收益率作为一项个人(以及家庭)和社会(政府公共支出)投资的收益率的大小,可以分为个人收益率与社会收益率,主要关注的是前者。
收益率的计算公式为:收益率=净利润/投资额
市场经济中决定收益率的因素
1.资本商品的生产率,即对煤矿、大坝、公路、桥梁、工厂、机器和存货的预期收益率。
2.资本商品生产率的不确定程度。
3.人们的时间偏好,即人们对即期消费与未来消费的偏好。
4.风险厌恶,即人们为减少风险暴露而愿意放弃的部分。
当前收益率和到期收益率区别
1.当期收益率(当前收益率)是债券的年利息收入与当前的债券市场价格的比率,即
。
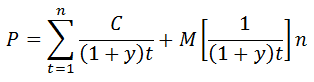
2.到期收益率(内部收益率)是可以使投资购买债券获得的未来现金流的现值等于债券当前市价的贴现率,相当于投资者按照当前市场价格购买并且一直持有至到期可获得的年平均收益率。(贴现率)

债券当期收益率与到期收益率之间的关系
债券市场价格越接近债券面值,期限越长,则其当期收益率就越接近到期收益率。
债券市场价格越偏离债券面值,期限越短,则当期收益率就越偏离到期收益率。
不论当期收益率与到期收益率近似程度如何,当期收益率的变动总是预示到期收益率的同向变动。
更多相关知识请点击:
了解更多会计考试资讯、知识点,可以点击查看东奥CMA频道。


津公网安备12010202000755号