经济订货基本模型_25年财务与会计预习考点
通过系统地梳理和掌握关键知识,为即将到来的基础阶段备考奠定坚实基础,从而在未来的考试中取得骄人的成绩。东奥会计在线整理了税务师《财务与会计》预习考点,同学们快来打卡吧!

经济订货基本模型
假设 | (1)存货总需求量是已知常数 (2)订货提前期是常数 (3)货物是一次性入库 (4)单位货物成本为常数,无批量折扣 (5)库存储存成本与库存水平呈线性关系 (6)货物是一种独立需求的物品,不受其他货物影响 (7)不允许缺货,即缺货成本为零 |
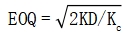
相关公式 | 存货年需要量用D来表示,每次订货量用Q来表示,每次的变动订货成本用K表示,单位变动储存成本用Kc来表示,最佳经济订货量用EOQ来表示 变动订货成本=订货次数×每次变动订货成本=D/Q×K 变动储存成本=平均库存量×单位变动储存成本=Q/2×Kc 当变动订货成本=变动储存成本时,存货相关总成本最小,即:D/Q×K=Q/2×Kc |
整理得:EOQ 【记忆窍门】“两”次“订货”需“总量”,除去“储存”再开方 TC(EOQ)(存货的相关总成本)= 每年最佳订货次数=存货年需要量/经济订货量 最佳订货周期=360/每年最佳订货次数(假设一年为360天) |
模型 | 存货管理 | 现金管理-存货模型 |
与最佳量正相关 | 变动储存成本= | 机会成本= |
与最佳量反相关 | 变动订货成本= | 转换成本= |
最佳量确定公式 |
| |
相关总成本 |
|
|
所属章节:第五章 营运资金管理
注:以上内容选自杨树林老师2024考季《财务与会计》轻一基础班授课讲义
(本文为东奥会计在线原创文章,仅供考生学习使用,禁止任何形式的转载)


×变动订货成本=2×变动储存成本









津公网安备12010202000755号