金融期权价值的评估方法_2024注会财管备考重点
在学习2024年注会《财管》第六章的“金融期权价值的评估方法”时,闫华红老师给到考生一处提示:关于一致性原则如果考试给的是年有效利率,期数折算为年折现即可;如果考试给的是报价利率,把报价利率换为期利率,年数换为期数即可。
✅ 24年注会冲刺阶段章节习题,点击练习 > ✅ 新人福利领取,登录即送专属学习资料!>
注会考试中《财管》科目是学习难度较大的科目。除了要有一定的会计理论基础支撑之外。还要有一定的理科思维及运算能力。但并不意味着《财管》是难以突破的存在。掌握重点知识,争取在核心内容上得分,亦是备考的技巧之一。想知道更多《财管》的备考重点。
点击查看:2024年注会财管《轻一》名师讲义,备考重点汇总>>
【所属章节】
第六章 期权价值评估
第三节 金融期权价值评估
【知 识 点】
金融期权价值的评估方法
(一)期权估值原理
1.复制原理(构造借款买股票的投资组合,作为期权等价物)
(1)基本思想
构造一个股票和借款的适当组合,使得无论股价如何变动,投资组合的损益都与期权相同,那么,创建该投资组合的成本就是期权的价值。

按照套期保值原理,令到期收入相等
(2)计算公式
2.风险中性原理
(1)基本思想
假设投资者对待风险的态度是中性的,所有证券的期望报酬率都应当是无风险利率。
(2)计算思路

(3)基本公式
到期日价值的期望值=上行概率×Cu+下行概率×Cd
期权价值=到期日价值的期望值÷(1+持有期无风险利率)=(上行概率×Cu+下行概率×Cd)/(1+r)
(4)上行概率的计算
期望报酬率(无风险利率)=上行概率×上行时报酬率+下行概率×下行时报酬率
假设股票不派发红利,股票价格的上升百分比就是股票投资的报酬率。
期望报酬率(无风险利率)=上行概率×股价上升百分比+下行概率×(-股价下降百分比)
(二)二叉树期权定价模型
1.单期二叉树定价模型
期权价格=(1+r-d)/(u-d)×Cu/(1+r)+(u-1-r)/(u-d)×Cd/(1+r)
u:上行乘数=1+上升百分比
d:下行乘数=1-下降百分比
r:无风险的期利率
理解
风险中性原理的应用:
其中:上行概率=(1+r-d)/(u-d)
下行概率=(u-1-r)/(u-d)
期权价格=上行概率×Cu/(1+r)+下行概率×Cd/(1+r)
复制原理的应用:

结论
二叉树定价模型的公式的推导可以利用复制原理来推导,也可利用风险中性原理来推导。
提示
掌握二叉树公式时就按风险中性原理来把握即可。
2.两期二叉树模型
(1)基本原理:由单期模型向两期模型的扩展,不过是单期模型的两次应用。
(2)方法:
先利用单期定价模型,根据Cuu和Cud计算节点Cu的价值,利用Cud和Cdd计算Cd的价值;然后,再次利用单期定价模型,根据Cu和Cd计算C0的价值,从后向前推进。
3.多期二叉树模型
(1)原理:从原理上看,与两期模型一样,从后向前逐级推进,只不过多了一个层次。
(2)股价上升与下降的百分比的确定:
期数增加以后带来的主要问题是股价上升与下降的百分比如何确定问题。期数增加以后,要调整价格变化的升降幅度,以保证年报酬率的标准差不变。
把年报酬率标准差和升降百分比联系起来的公式是:

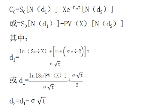
(三)布莱克-斯科尔斯期权定价模型(BS模型)
1.假设
(1)在期权寿命期内,期权标的股票不发放股利,也不做其他分配;
(2)股票或期权的买卖没有交易成本;
(3)短期的无风险利率是已知的,并且在期权寿命期内保持不变;
(4)任何证券购买者都能以短期的无风险利率借得任何数量的资金;
(5)允许卖空,卖空者将立即得到所卖空股票当天价格的资金;
(6)看涨期权只能在到期日执行;
(7)所有证券交易都是连续发生的,股票价格随机游走。

式中: ——看涨期权的当前价值;
——标的股票的当前价格;
N(d)——标准正态分布中离差小于d的概率;
X——期权的执行价格;
e——自然对数的底数,约等于2.7183;
——连续复利的年度的无风险报酬率;
t——期权到期日前的时间(年);
In(
)——
的自然对数;
σ2——连续复利的以年计的股票回报率的方差。
附表七 正态分布下的累计概率[N(d)]
X/σ | 0.00 | 0.01 | 0.02 | 0.03 | 0.04 | 0.05 | 0.06 | 0.07 | 0.08 | 0.09 |
0.0 | 0.5000 | 0.5040 | 0.5080 | 0.5120 | 0.5160 | 0.5199 | 0.5239 | 0.5279 | 0.5319 | 0.5359 |
0.1 | 0.5398 | 0.5438 | 0.5478 | 0.5517 | 0.5557 | 0.5596 | 0.5636 | 0.5675 | 0.5714 | 0.5753 |
0.2 | 0.5793 | 0.5832 | 0.5871 | 0.5910 | 0.5948 | 0.5987 | 0.6026 | 0.6064 | 0.6103 | 0.6141 |
0.3 | 0.6179 | 0.6217 | 0.6255 | 0.6293 | 0.6331 | 0.6368 | 0.6406 | 0.6443 | 0.6480 | 0.6517 |
0.4 | 0.6554 | 0.6591 | 0.6628 | 0.6664 | 0.6700 | 0.6736 | 0.6772 | 0.6808 | 0.6844 | 0.6879 |
提示
根据d求N(d)的数值时,可以查教材后附的“正态分布下的累积概率[N(d)]”。由于表格的数据是不连续的,有时需要使用插补法计算更准确的数值。当d为负值时,对应的N(d)=1-N(-d),例如N(-0.35)=1-N(0.35)=1-0.6368=0.3632。
3.参数估计
(1)无风险利率的估计
①期限要求:无风险利率应选择与期权到期日相同的政府债券利率。如果没有相同时间的,应选择时间最接近的政府债券利率。
②这里所说的政府债券利率是指其市场利率(根据市场价格计算的到期收益率),而不是票面利率。
③模型中的无风险利率是按连续复利计算的利率,而不是常见的年复利。
连续复利假定利息是连续支付的,利息支付的频率比每秒1次还要频繁。
如果用F表示终值,P表示现值,
表示连续复利率,t表示时间(年);则:

(2)标准差的估计
(3)公式运用


4.看涨期权-看跌期权平价定理
对于欧式期权,假定看涨期权和看跌期权有相同的执行价格和到期日,则下述等式成立:
看涨期权价格-看跌期权价格=标的资产的价格-执行价格的现值
这种关系,被称为看涨期权-看跌期权平价定理,利用该等式中的4个数据中的3个,就可以求出另外1个。
5.派发股利的期权定价
考虑派发股利的期权定价公式如下:

6.美式期权估值
美式期权在到期前的任意时间都可以执行,除享有欧式期权的全部权利之外,还有提前执行的优势。因此,美式期权的价值应当至少等于相应欧式期权的价值,在某种情况下比欧式期权的价值更大。
注会考试时间是8月23日-25日,知识学习需要徐徐渐进,掌握重要内容,更会事半功倍。上文知识点内容根据闫华红老师《轻一基础精讲班》讲义整理,闫华红老师2024年主讲的注会C双名师轻松过关®班课程正在更新!2025年注会新课也已上线,想给自己加一年保障,可点击图片了解详情。
(本文为东奥会计在线原创文章,仅供考生学习使用,禁止任何形式的转载)







津公网安备12010202000755号