终值和现值的计算——2025年中级会计财管强化阶段知识点
在备考中级会计师考试的过程中,努力了就会有收获。备考时,坚持耕耘,终会迎来丰硕成果。下面是“终值和现值的计算”相关知识点,一起进入强化复习!
2025中级课程 ‖ 1V1私教 ‖ 2025辅导书 ‖ 中级备考提速包

【第二章 财务管理基础】
终值和现值的计算
【知识点】
项目 | 计算过程 | 计算公式 |
复利终值 | 单笔款项若干期后的本利和。 | F=P(1+i)n=P(F/P,i,n) |
复利现值 | 未来单笔款项现在的价值。 | P=F(1+i)--n=F(P/F,i,n) |
普通年金终值 | 每期期末收付的系列等额款的终值,已知普通年金A,求普通年金终值F。 | |
年偿债基金 | 已知普通年金终值F,求普通年金A。与普通年金终值互为逆运算。 | |
普通年金现值 | 每期期末收付的系列等额款的现在价值,已知普通年金A,求普通年金现值P。 | |
年资本回收额 | 已知普通年金现值P,求普通年金A。与普通年金现值互为逆运算。 | |
预付年金终值 | 每期期初收付的系列等额款的终值,已知预付年金A,求预付年金终值F。 | F=A(F/A,i,n)×(1+i) =普通年金终值×(1+i) =A×[(F/A,i,n+1)-1] |
| 预付年金现值 | 每期期初收付的系列等额款的现值,已知预付年金A,求预付年金现值P。 | P=A(P/A,i,n)×(1+i) =普通年金现值×(1+i) =A×[(P/A,i,n-1)+1] |
递延年金终值 | 同普通年金终值 | |
递延年金现值 | 间隔一定时期后每期期末收付的系列等额款项的现时价值。 已知递延期m、连续收支期数,即年金期n、系列等额款,即年金A,求现值P。 | P=A×(P/A,i,n)×(P/F,i,m) P=A×[(P/A,i,m+n)-(P/A,i,m)] |
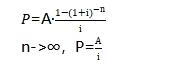
| 永续年金 | 普通年金的极限形式,当普通年金的收付次数为无穷大时即为永续年金。已知普通年金A,求永续年金现值P。永续年金无终值 | |
关于终值、现值主要考查计算和系数之间的关系:

系数之间的关系
普通年金现值终值系数与复利现值终值系数
普通年金现值系数(P/A,i,n)=(1-复利现值系数)/i
普通年金终值系数(F/A,i,n)=(复利终值系数-1)/i
预付年金现值终值系数与普通年金现值终值系数
预付年金现值系数=普通年金现值系数×(1+i)=(P/A,i,n-1)+1
预付年金终值系数=普通年金终值系数×(1+i)=(F/A,i,n+1)-1
递延年金现值系数与普通年金现值系数
递延年金现值系数=普通年金现值系数×(P/F,i,m),其中m为递延期。

以上就是为大家整理的关于终值和现值的计算相关内容。考生们要合理安排时间,充分利用强化阶段的学习时间,积极备考, 希望大家都能取得中级会计师资格证!
注:以上内容选自刘艳霞老师2025年《财务管理》轻1·基础细讲班讲义
(本文为东奥会计在线原创文章,仅供考生学习使用,禁止任何形式的转载)





津公网安备12010202000755号